首页
新型电磁电路模拟器可视化辐射现象
返回

新型电磁电路模拟器可视化辐射现象

2022-12-19 科技信息 By:佚名
最佳答案我们日常生活中使用的大多数设备都是通过电力操作和控制的。从安全性和电力的紧张供求的角度来看,满足低电磁噪声和节能的电路设计变得越来越重要。在电路中,电信号在导体内部传输,电磁场在导体外部辐射。此外,电磁场在空气中传播,并转换为自身和其他电路的信号,从而导致电磁噪声。现在,大阪...

我们日常生活中使用的大多数设备都是通过电力操作和控制的。从安全性和电力的紧张供求的角度来看,满足低电磁噪声和节能的电路设计变得越来越重要。

在电路中,电信号在导体内部传输,电磁场在导体外部辐射。此外,电磁场在空气中传播,并转换为自身和其他电路的信号,从而导致电磁噪声。现在,大阪大学的研究团队制定了一种数值方法,以可视化信号如何根据导体的形状传播和辐射,从而使我们能够在电路设计阶段预测电磁噪声的原因。

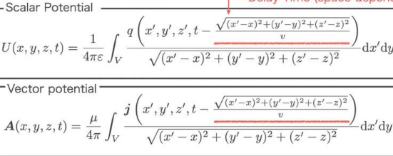
“必须同时计算电信号和外部辐射现象以处理电磁噪声。为此,我们的目标是精确求解标量电势(电势)U和从麦克斯韦方程导出的矢量电势A的延迟积分方程,如图1所示。”第一作者Souma Jinno说。

在传统方法中,如图2所示,延迟时间由不依赖于空间的常数来近似,但是该数值计算是不稳定的。这项研究通过更严格考虑延迟时间的数值计算(离散化)方法实现了数值稳定性。该团队还开发了一种算法,可以同时计算欧姆定律,连续性方程和边界的电路元素(集中参数电路)。

“通过将我们的方法应用于图3所示的电路,并将其与忽略辐射的计算结果进行比较,我们将显示辐射对传导信号的影响,分别用红线和蓝线表示。通过比较这两个结果,我们可以看到有辐射的计算立即被衰减并收敛到零,而没有辐射的计算继续无衰减地振荡,因为假定导体的电阻分量为零,所以没有因传导而造成的损耗。结果,传导信号电流衰减由于外部辐射。衰减指示单个导体不适合,因为广泛的外部辐射的传导的信号。通常,电路 使用两个导体,它们可以传导较少的辐射。” Souma Jinno解释说。

“为了实现可持续发展目标(SDGs),社会正在走向电气化移动。然而,快速电气化等供求紧张的电力和无形的环境造成污染的电磁噪声的潜在问题。使用电磁发达的电路仿真器通过这项研究,我们旨在通过正确处理和消耗电力来进一步降低电路的噪声和功耗,以实现'可持续的电气化社会'。”

猜你喜欢
当婆婆遇上妈演员表(关于当婆婆遇上妈演员表的介绍)

当婆婆遇上妈演员表(关于当婆婆遇上妈演员表的介绍)

12-19 0 阅读
科员属于什么职级(科员是什么级别的职位)

科员属于什么职级(科员是什么级别的职位)

12-19 0 阅读
笔记本电脑电池能用多长时间(笔记本电池使用)

笔记本电脑电池能用多长时间(笔记本电池使用)

12-18 0 阅读
怎么将ie设置为默认(怎么将ie设置为默认浏览器)

怎么将ie设置为默认(怎么将ie设置为默认浏览器)

12-18 0 阅读
传统的近义词是什么 标准答案(传统的近义词)

传统的近义词是什么 标准答案(传统的近义词)

12-18 0 阅读
p2p种子搜索神器怎么用(种子搜索神器怎么用)

p2p种子搜索神器怎么用(种子搜索神器怎么用)

12-18 0 阅读
热门推荐
当婆婆遇上妈演员表(关于当婆婆遇上妈演员表的介绍)

当婆婆遇上妈演员表(关于当婆婆遇上妈演员表的介绍)

12-19 0 阅读
科员属于什么职级(科员是什么级别的职位)

科员属于什么职级(科员是什么级别的职位)

12-19 0 阅读
笔记本电脑电池能用多长时间(笔记本电池使用)

笔记本电脑电池能用多长时间(笔记本电池使用)

12-18 0 阅读
怎么将ie设置为默认(怎么将ie设置为默认浏览器)

怎么将ie设置为默认(怎么将ie设置为默认浏览器)

12-18 0 阅读
传统的近义词是什么 标准答案(传统的近义词)

传统的近义词是什么 标准答案(传统的近义词)

12-18 0 阅读
p2p种子搜索神器怎么用(种子搜索神器怎么用)

p2p种子搜索神器怎么用(种子搜索神器怎么用)

12-18 0 阅读
如何激励员工的积极性读后感(如何激励员工)

如何激励员工的积极性读后感(如何激励员工)

12-18 0 阅读
qq空间登陆登录电脑版特别关心(qq空间电脑版登录入口特别关心)

qq空间登陆登录电脑版特别关心(qq空间电脑版登录入口特别关心)

12-18 0 阅读
婴儿肚子老是响还放屁是怎么回事呀(婴儿肚子老是响还放屁是怎么回事)

婴儿肚子老是响还放屁是怎么回事呀(婴儿肚子老是响还放屁是怎么回事)

12-18 0 阅读
stackoverflowatline1怎么解决(stack overflow at line 1)

stackoverflowatline1怎么解决(stack overflow at line 1)

12-18 0 阅读